CAS No. 22042-96-2 (x-Na) 68155-78-2 (7-Na)
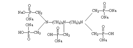
Molecular Formula: C9H21O15N3P5Na7 Molecular weight: 727
Structural Formula:

Properties:
DTPMP•Na7 is a scale inhibitor, for barium sulphate in particular and a chelating agent.DTPMP•Na7 can be used as stabilizer for peroxide bleaching, detergent auxiliaries, in industrial & municipal cleaning water, terrestrial heat water, oilfield water, etc.
Specification:
| Items | Index |
|---|
| Appearance | Umber transparent liquid |
| Active content (DTPMPA), % | 31.5-33.5 | 24.0-26.0 |
| Active content (DTPMP•Na7), % | 40.0-42.5 | 30.5-33.0 |
| Chloride (as Cl-), % | 5.0max | 5.0max |
| Fe, mg/L | 20 max | 20 max |
| pH (1% water solution) | 7.0-9.0 | 7.0-9.0 |
| Density (20℃), g/cm3 | 1.25 min | 1.24-1.34 |
Package and Storage:
200L plastic drum,IBC(1000L),customers’ requirement. Storage for ten months in shady room and dry place.